笔者持续讨论「蒋经国放手民进党组党的阳谋」相关话题。本次的主题继续民进党组党7年前1979年12月10日发生的「美丽岛事件」研究,主要引用2022年1月国史馆与国家人权博物馆出版张世瑛、林映汝编辑《战后臺湾政治案件美丽岛事件史料汇编》(《美丽岛事件史料汇编》)第二册,由当时官方的机密文件中了解事件前,美丽岛杂志社南投分社联欢晚会上黄信介、张俊宏、黄顺兴、孟祥柯、吕秀莲、黄煌雄、姚嘉文、林义雄等先后演讲中所提出的问题,笔者认为十分重要,予以讨论。

美丽岛杂志社南投分社部分

一、民国68年(1979)11月13日,(《美丽岛事件史料汇编》(二),第59-248页)

摘要:阴谋份子南投国宾戏院联欢晚会情形

来源地点:南投

搜集方法:亲悉

可靠性:甲

呈报时间:11月13日

内容提要:

1. 查美丽岛杂志社为纪念国父诞辰,庆祝南投服务处成立及张俊宏当选省议员2周年,特于本(11)月12日在南投镇国宾戏院举行联欢晚会。

2. 全省阴谋份子均被邀参加,晚会于18时15分开始至23时33分结束,人数约一千人,秩序良好,由黄信介担任主席,魏玉麟司仪。

3. 会中黄信介、张俊宏、黄顺兴、孟祥柯、吕秀莲、黄煌雄、姚嘉文、邱茂男、林义雄等先后演讲。

美丽岛杂志社南投服务处联欢晚会上的讲话内容非常丰富与重要,上次文章笔者仅就黄信介讲话部分评论,现在继续讨论。

张俊宏说:(1)铁路电气化花了一千亿,时速仅有80多公里,现在铁路营运不佳,积弊颇深。(2)台湾农业政策的错误,导致农村经济的萎缩。(3)司法没有独立,政府随便给人民扣帽子。(4)新闻自由是新闻要为群眾讲话,不是为政府讲话。(5)自由是人民除了要有经济自由,尚要开放人民得以过问政治。

对于张俊宏(1938-)的讲话,笔者评论如下:

关于台铁,一直有入不敷出的问题,其中反映出当时蒋经国先生与国民党对于三民主义国营企业性质的想法,为了提供人民基本生活所需,应贴补国营企业的亏损,后来的水电价格调整等政策争议,甚至引发了蒋经国先生和李国鼎先生之间的不合。而长期贴补,造成国营企业体质赢弱、财务恶化、设备老旧的情形。这个问题现在还在,民进党政府在让台铁自由化,也就是公司化上,一直犹疑不决,牵涉到两部分,第一,是目前员工工作的保障,因为公司化必然产生主管与员工汰弱换新的需要;第二,是台湾基层民眾的收入偏低,公共大眾运输的价格如果调高,势发引起反弹,对于选举不利;而价格不调高,民间资本不可能投入。事实上,高铁的问题一样,华航也类似,因此关于社会主义中的基本结构如何在财务与营运上保持健康稳固一直是一个议题。

至于司法没有独立,政府随便给人民扣帽子,这是中国政治长期的弊病,现在台湾的状况改善许多,但是,司法为政治、为政党服务的心态仍然存在。最近一期《天下杂志》刊出文章,美国参议院通过史上第一位非裔女性大法官杰克森,她引用将退休的大法官布莱尔的话说:「法律的目的在于让抱持不同看法、拥有不同需求的人,更融洽地生活在一起,更有效地合作。」这样的思想,在我们蓝红绿族群衝突的国人中,会认为「太天真」了,政治不就是尔虞我诈、赢者全拿吗?然若司法不独立,中国、台湾的政治永远不能上轨道。但是司法要怎么独立呢?三民主义中的司法是独立的吗?国民政府从大陆时期到台湾解严之前,司法不独立,眾所周知。而司法院长依宪法由总统任命,按理司法不易独立。未来中华民国司法在政治制度上如何独立运作,十分重要。中国大陆则盘根错节,司法独立非常困难。近年来民进党政府成立与推动司法改革委员会的工作,除了尝试国民法官制度,其他方面笔者尚待了解进度。

关于新闻自由与政治自由,在中华民国基本是达成了,无疑这是一个很大的成绩。目前台湾主要的问题在于不同族群对于国家认同的差异,短时间内这不容易解决,笔者认为至少在美丽岛事件以前,台湾社会里国家认同的问题并不明显。

黄顺兴:(1)分析国会人数比例、年龄,老年人逐渐减少,数年后国会就变成空架子。(2)选举中央民意代表将会在明年年底前恢復。(3)介绍美丽岛、八十年代、春风等杂志为党外主要刊物。

对于黄顺兴(1923-2002)的讲话,笔者评论如下:

黄顺兴是当时的立法委员,党外中的统派,后于1985年赴大陆,任全国人大常委。关于立法院、国民大会「老年人逐渐减少,数年就变成空架子」,这虽然是「国王的新衣」,但是笔者在年轻时却从未感觉到这是一个问题,笔者常常出入一些资深国大代表、立法委员家中,跑来跑去,异常亲切,似乎他们永远应该像大树一般地照顾着我们多难的国家,笔者对于他们一直有很深的感情。现在回忆,当时看见他们就想起了大陆,联繫到过去的大时代。那个年代,我们外省人相信一定会回大陆,结果梦断,却是在开放后回到了大陆,发现人事全非,大失所望,才知道过去的中国早已不存在了!

《春风》杂志,是王拓等主办的左翼刊物。对于台湾社会中存在的左翼,笔者相当陌生,这是国民党长期反共恐共教育的结果,以为社会主义就是共产党,共产党就是会搞土改、文革,非常恐怖。后来笔者去大陆,才知道非常少存在真实意义的马克思主义者(但是许多毛泽东思想者、毛泽东崇拜者存在),而大家都要生存,要好的生活,「左派」几乎是反社会的代名词,实在讽刺。

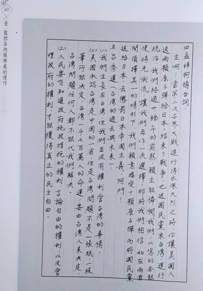
孟祥柯祷告词。(图文:龙城飞)
孟祥柯祷告词。(图文:龙城飞)

孟祥柯祷告:主啊!当第二次世界大战进行得水深火热之时,你让美国人送两颗原子弹给日本,结束了战争,也送国民党来台湾,进行统治。我们经过30余年的煎熬,愿主能怜悯我们,以您的全能使时光倒流,让我们再做一次选择,那时我们相信,如在两者间须择一的情形下,我们愿意接受十颗原子弹,而将国民党送给日本,去惩罚日本帝国主义,阿门!

对于孟祥柯的祷告,笔者评论如下:

孟祥柯(1930-2017)祖籍东北,又称孟绝子,当时党外中少数的外省人,1979年8月《美丽岛杂志》创刊,共发行四期,孟祥柯担任第二至第四期之社务委员。大陆来台的外省人中东北人不喜欢国民党的不少,如费希平、李敖等,箇中原因值得推敲,可能和张学良有关。另外就是广西人也多不喜国民党,应和早年的桂系有关。

孟祥柯的祷告,十分有趣,其中隐含了对于抗战前后国民党东北政策的不满。读者可以想像战后如果是国民党或中共去接收日本,日本人的反抗程度一定会相当激烈。而美国对日本非常宽厚,1960年代日本经济已经復甦,日后日本人与日本政府对于美国的感念,而对美国的政策几乎完全配合。这一点,我们应该多思考我们的对外政策。

吕秀莲:(1)我们生长在台湾,但我们并没有权利管台湾的事情。(2)美国承认台湾是中国的一省,但是台湾问题不是一张纸、一支笔所能决定,台湾1700万人的命运,要由台湾人来决定,台湾问题任何人都不能代我们解决。(3)人民要有知道政府施政的权利,言论自由的权利,以及管理政府的权利,才能获得真正的民主自由。

对于吕秀莲(1944-)的讲话,笔者评论如下:

对于「我们生长在台湾,但我们并没有权利管台湾的事情」,当时的情况确实如此,国民党的中上层的组成中外省人占大多数,形成外省人统治本省人的二元政治结构,以少数统治多数,加上语言文化的隔阂,许多本省同胞视国民党为「外来政权」,是必然的感受。近年来,民进党政府以多数本省人统治少数外省人,强调台湾与中国关系的分离,形成和国民党时期相反的二元政治结构,产生了蓝绿族群与统独认同的对立,说明我们文化中的缺乏包容性以及政治统治艺术的有待改进。

为何百年来中国社会的政治结构一直不稳定?相较满人入关,习汉语、由进士制拔擢汉人、以喇嘛教怀柔蒙藏、用传教士习科学、促进贸易,30年而开百年大治,甚为中国歷代盛世之一。笔者认为我们汉人的心胸、格局皆不如早年满人,和近代的英美文化亦差之甚远。

黄煌雄:(1)孙中山先生创立民国,但并未建立一个民主政治的国家。(2)300年来台湾一直受外力统治,光復30年来台湾也一直是一个政治悲剧的时代。(3)我们这一代的任务,就是要争取省长的民选。

对于黄煌雄(1944-)的讲话,笔者评论如下:

黄煌雄本人相当理性,待人温和有礼,他的说法「孙中山先生创立民国,但并未建立一个民主政治的国家」,是一个非常重要的反思,这里有主客观的因素。遗憾的是笔者从未看见支持国民党的政治人物、学者、媒体认真、公开与长期的思考、讨论与表达「如何建立一个民主政治的国家」。

国民党在1948年、1990年的环境变动中实行宪政,政权就支持不住,说明国民党的特质比较适合威权政治,就像共产党的特质比较适合集权政治,这是过去时代中形成的体质和体制,要自己改变几乎不可能。

黄煌雄说「300年来台湾一直受外力统治,光復30年来台湾也一直是一个政治悲剧的时代」,这句话充满哀伤,如圣经中的先知哀嘆以色列人不断遭异族统治的命运,和许多歌颂国民党在台统治成功光荣者(如笔者)的感受完全不同。

另外,黄煌雄说「我们这一代的任务,就是要争取省长的民选」,这样谦卑的愿望,令人难过。黄煌雄在美丽岛事件后没有被国民党情治单位逮捕判刑,笔者认为国民党方面应有人同情黄煌雄的温和陈述,开放省长民选并不会影响国民党的统治结构,反而可以更得民心。可惜国民党当年没有及早提升民主化的高度,以延长国民党的治理,却一昧在地方选举上打压非国民党系的参选人,最后失去了许多地方老百姓的尊敬与信任。

2022年1月国史馆与国家人权博物馆出版张世瑛、林映汝编辑《美丽岛事件史料汇编》)第二册,1979年11月12日,美丽岛南投分社举行晚会,全省主要阴谋分子演讲,情治单位现场搜证,定为「一一一二」专案。(图文:龙城飞)
2022年1月国史馆与国家人权博物馆出版张世瑛、林映汝编辑《美丽岛事件史料汇编》)第二册,1979年11月12日,美丽岛南投分社举行晚会,全省主要阴谋分子演讲,情治单位现场搜证,定为「一一一二」专案。(图文:龙城飞)

姚嘉文:(1)台湾是中国的一部分,所以仅能参与一部分的政治,要是讲台湾脱离中国,就要被扣上「台独」的帽子。去年竞选以后,国民党用很多方法攻击党外人士,其中一种就是说党外人士和台独连在一起,也就是说党外人士就是台独份子。(2)国会今天外省人要占多数,因为中华民国里外省人比台湾人多,台湾人不能代表中国,台湾人不能组织中国政府。国会很多在30几年前选出来,为什么那些人能够继续做下去?因为他们代表我们,没办法改选。你若是主张台湾人占多数国会,就是台独份子,就是叛乱份子,就应抓去枪毙。国民党统治台湾的第一点,用外省人对抗台湾人。(3)国民党说我们的政策就是反攻大陆,所以有什么事情,等反攻大陆以后再讲,在反攻大陆未成以前,都是非常时期,这是讲不通的。(4)奥运会要我们放弃国号、国旗、国歌去参加奥运,共匪并不希望我们参加,如果我们真不参加,正好中了中共的圈套。(5)反攻大陆以前,我们不承认台湾是中国的一部分,反攻大陆以后,我们才承认台湾是中国的一部分,这个观念要建立。

对于姚嘉文(1944-)的讲话,笔者评论如下:

姚嘉文是美丽岛系中少数表达出有明显台湾主体意识的人。他对国民党的「中华民国代表中国的理论」进行批判,论述在这样的架构下,省籍为唯一的代表条件。

笔者今天检查姚嘉文的逻辑是否正确?笔者认为国民党的「中华民国在台湾代表中国论」在结构上未必错误,前提是大家承认中华民国代表中国,而且国会代表法统。问题出在国民党以大陆时期选出来的国大代表、立法委员代表中国,这些人的年事愈高,以致日益凋零,因此所谓法统如何维持?当时主张改选的人,党内外都有,并不会「抓去枪毙」。但是当时台独主张,其逻辑导向全面改选国会,亦是事实。而全面改选国会后,中华民国是否仍代表中国?另一方面,以台湾人为主的国会和政府,是否可以或愿意代表中国?这都牵涉到各方敏感的神经。笔者指出当时中共文革刚结束,百废待举,中共的力量不足,对国民党的主张中华民国代表中国,逻辑上并不反对。然而当时的党外忽略了国民党的中国民族主义的强烈责任感,以及国民党与党外皆低估了中共的未来因素,绝对是事实。

姚嘉文的思维具有代表性,而姚嘉文与其他主讲人所提出的问题确实是当时国民党最难解决的政治与歷史矛盾,这个问题后来演变为美中台的世纪漩涡,足以引发台海与美中战争。可见国民党除了为保护自身政权,其中牵涉到中国政治体制、中国统一、台湾独立以及美日在亚洲利益的复杂因素。

林义雄:以政治迫害人民,是可耻的事情,例如美国歷史上西部白人残杀印地安人,现在美国人都认为是可耻的行为。

对于林义雄(1941-)的讲话,笔者评论如下:

检验林义雄的说法,验诸之后美丽岛事件中国民党的处理方式,笔者不易为当时的国民党辩护。1979年11月12日美丽岛杂志社为庆祝南投服务处成立及张俊宏当选省议员2周年,在南投镇国宾戏院举行联欢晚会,林义雄在台上演讲。非常不幸的,3个半月后1980年2月28日发生林宅血案,笔者不知道到底是哪一方面做的事,然极其悲惨,笔者不能不对林义雄先生致最深的问候。而林义雄所说的话,一语成谶,令人忧惧。笔者寄望今后两岸的政党与政府都能确实保护人民的身家安全,不论这个人政治主张为何,如果违法,依法送法院办理,然必须保障人权。

初步的小结

关于以上1979年11月12日美丽岛杂志社南投服务处晚会上各党外领导成员的讲话,主要皆涉及国民党、中华民国、台湾、党外、中国与中共多方面的复杂问题,而且还有美国的因素,牵一髮而动全身,并非单纯的党外与国民党的斗争。相关事宜,下期再谈。

(作者龙城飞,原名杨雨亭,国立台湾师范大学歷史学博士)

【未完待续,龙城飞专栏每周一刊出】

#黄信介 #张俊宏 #黄顺兴 #孟祥柯 #吕秀莲